Last updated: 2024-11-01

Checks: 7 0

Knit directory: 2021_MPSIIIBvQ96-RNAseq-7dpfLarve/

This reproducible R Markdown analysis was created with workflowr (version 1.7.1). The Checks tab describes the reproducibility checks that were applied when the results were created. The Past versions tab lists the development history.


Great! Since the R Markdown file has been committed to the Git repository, you know the exact version of the code that produced these results.

Great job! The global environment was empty. Objects defined in the global environment can affect the analysis in your R Markdown file in unknown ways. For reproduciblity it’s best to always run the code in an empty environment.

The command set.seed(20211120) was run prior to running the code in the R Markdown file. Setting a seed ensures that any results that rely on randomness, e.g. subsampling or permutations, are reproducible.

Great job! Recording the operating system, R version, and package versions is critical for reproducibility.

Nice! There were no cached chunks for this analysis, so you can be confident that you successfully produced the results during this run.

Great job! Using relative paths to the files within your workflowr project makes it easier to run your code on other machines.

Great! You are using Git for version control. Tracking code development and connecting the code version to the results is critical for reproducibility.

The results in this page were generated with repository version 7bb9ce6. See the Past versions tab to see a history of the changes made to the R Markdown and HTML files.

Note that you need to be careful to ensure that all relevant files for the analysis have been committed to Git prior to generating the results (you can use wflow_publish or wflow_git_commit). workflowr only checks the R Markdown file, but you know if there are other scripts or data files that it depends on. Below is the status of the Git repository when the results were generated:


Ignored files:
    Ignored:    .DS_Store
    Ignored:    .RData
    Ignored:    .Rapp.history
    Ignored:    .Rhistory
    Ignored:    .Rproj.user/
    Ignored:    analysis/.DS_Store
    Ignored:    code/.DS_Store
    Ignored:    code/6mBrain_RNAseq_genoSex.rmd
    Ignored:    code/6mBrain_fems.rmd
    Ignored:    code/HS.R
    Ignored:    code/about.Rmd
    Ignored:    code/analysis.Rmd
    Ignored:    code/analysis_final.rmd
    Ignored:    code/analysis_final_v2.rmd
    Ignored:    code/checkGenotypes.rmd
    Ignored:    code/explorationRUV.Rmd
    Ignored:    code/genotypeCheck.Rmd
    Ignored:    code/license.Rmd
    Ignored:    code/nhi6mdata.rmd
    Ignored:    code/plots4pub2.rmd
    Ignored:    code/plots4pub_RNAseq_afterreview1.R
    Ignored:    code/wgcna.rmd
    Ignored:    data/.DS_Store
    Ignored:    data/Nhi_data/.DS_Store
    Ignored:    data/R_objects/.DS_Store
    Ignored:    data/R_objects/larvae/.DS_Store
    Ignored:    data/adult_brain/.DS_Store
    Ignored:    data/adult_brain/05_featureCounts/.DS_Store
    Ignored:    data/adult_brain/fastqc_raw/.DS_Store
    Ignored:    data/gene_sets/.DS_Store
    Ignored:    data/larvae/.DS_Store
    Ignored:    data/larvae/fastqc_align/.DS_Store
    Ignored:    data/larvae/fastqc_align_dedup/.DS_Store
    Ignored:    data/larvae/fastqc_raw/.DS_Store
    Ignored:    data/larvae/fastqc_trim/.DS_Store
    Ignored:    data/larvae/featureCounts/.DS_Store
    Ignored:    data/larvae/meta/.DS_Store
    Ignored:    data/larvae/starAlignLog/.DS_Store
    Ignored:    output/.DS_Store
    Ignored:    output/plots/
    Ignored:    output/plots4poster/.DS_Store
    Ignored:    output/plots4pub/

Untracked files:
    Untracked:  Rplot01.pdf
    Untracked:  Rplot02.png
    Untracked:  data/R_objects/adult_brain/HMPKEGG_6m_brain_genosex_CQN.rds
    Untracked:  data/R_objects/adult_brain/HMP_ire_6m_brain_genosex_CQN.rds
    Untracked:  data/R_objects/adult_brain/cqn_logCPM_6m_brain.rds
    Untracked:  data/R_objects/adult_brain/dge_6m_brain_cqn.rds
    Untracked:  data/R_objects/adult_brain/fry_cell_6m_brain_genosex_CQN.rds
    Untracked:  data/R_objects/adult_brain/fry_cell_RNAseq.rds
    Untracked:  data/R_objects/adult_brain/goseqtibbles_6m_brain_genosex_CQN.rds
    Untracked:  data/R_objects/adult_brain/hmp.kegg.rna.rds
    Untracked:  data/R_objects/adult_brain/toptablescqn_bysex.rds
    Untracked:  data/allLLIDs.rds
    Untracked:  data/ensembl_zebrafish.rds
    Untracked:  data/proteomics/
    Untracked:  data/with_go_evidence.rds
    Untracked:  dre00020.pathview.multi.png
    Untracked:  dre00020.png
    Untracked:  dre00020.xml
    Untracked:  hsa04650.EOfADproteomes.multi.png
    Untracked:  hsa04650.MPSIIIBproteomes.multi.png
    Untracked:  hsa04650.png
    Untracked:  hsa04650.xml
    Untracked:  hsa04666.EOfADproteomes.multi.png
    Untracked:  hsa04666.MPSIIIBproteomes.multi.png
    Untracked:  hsa04666.png
    Untracked:  hsa04666.xml
    Untracked:  larvae dre00020.pathview.multi.png
    Untracked:  output/DE_proteins_for_string/
    Untracked:  output/GOenrichment_enrichmentTable.csv
    Untracked:  output/plots4RADposter/
    Untracked:  output/plots4kim/
    Untracked:  output/plots4pub2/
    Untracked:  output/plots4pub3/
    Untracked:  output/spreadsheets/RNAseqlarvae_celltypeFry.xlsx
    Untracked:  output/spreadsheets/RNAseqlarvae_hmpoutputs.xlsx
    Untracked:  output/spreadsheets/geneset_RNAseq_v2.xlsx
    Untracked:  output/spreadsheets/goseq_RNAseq_v2.xlsx
    Untracked:  output/spreadsheets/limma_proteomics_6mbrain.xlsx
    Untracked:  output/spreadsheets/proteomics_6mbrain_hmpoutputs.xlsx
    Untracked:  output/spreadsheets/toptables_RNAseq_v2.xlsx
    Untracked:  output/spreadsheets/~$limma_proteomics_6mbrain.xlsx
    Untracked:  temp.png

Unstaged changes:
    Modified:   .gitignore
    Deleted:    analysis/6mBrain_fems.rmd
    Deleted:    analysis/HS.R
    Deleted:    analysis/about.Rmd
    Deleted:    analysis/analysis.Rmd
    Deleted:    analysis/analysis_adultbrain.knit.md
    Deleted:    analysis/analysis_final.rmd
    Deleted:    analysis/checkGenotypes.rmd
    Deleted:    analysis/explorationRUV.Rmd
    Deleted:    analysis/genotypeCheck.Rmd
    Deleted:    analysis/license.Rmd
    Deleted:    analysis/nhi6mdata.rmd
    Deleted:    analysis/plots4pub2.rmd
    Modified:   data/R_objects/adult_brain/dge.rds
    Modified:   data/R_objects/adult_brain/hmp_ire.rds
    Modified:   data/R_objects/adult_brain/logcpm.rds
    Modified:   data/R_objects/larvae/celltype_larvae.rds
    Modified:   data/R_objects/larvae/dge.rds
    Modified:   data/R_objects/larvae/hmp_ire.rds
    Modified:   data/R_objects/larvae/hmp_kegg.rds
    Modified:   data/R_objects/larvae/logcpm.rds
    Modified:   data/R_objects/larvae/toptablescqn.rds
    Modified:   data/adult_brain/karissas_metadata.xlsx
    Modified:   output/spreadsheets/toptables_cqn.xlsx

Note that any generated files, e.g. HTML, png, CSS, etc., are not included in this status report because it is ok for generated content to have uncommitted changes.


These are the previous versions of the repository in which changes were made to the R Markdown (analysis/proteomics.rmd) and HTML (docs/proteomics.html) files. If you’ve configured a remote Git repository (see ?wflow_git_remote), click on the hyperlinks in the table below to view the files as they were in that past version.

File Version Author Date Message
Rmd 7bb9ce6 Karissa Barthelson 2024-11-01 wflow_publish("analysis/*")

Introduction

library(tidyverse)
library(magrittr)
library(readxl)
library(openxlsx) # for exporting sheets

# vis
library(ggpubr)
library(scales)
library(ggfortify)
library(clusterProfiler)
library(ComplexHeatmap)
library(circlize)
library(tidyHeatmap)
library(RColorBrewer)
library(pander)
library(ggrepel)
library(ggpol)
library(UpSetR)

# analysis
library(limma)
library(Biobase)
library(goseq)
library(fgsea)
library(harmonicmeanp)
library(STRINGdb)

# annotation
library(AnnotationDbi)
library(UniProt.ws)
library(AnnotationHub)
library(biomaRt)
library(msigdbr)

theme_set(theme_bw() +
            theme(
              plot.title = element_text(hjust = 0.5), 
              plot.subtitle = element_text(hjust = 0.5)
              ))
files <- list.files("data/proteomics", full.names = T)

# read in the data from Rachael and Marten 
data <- read_tsv("data/proteomics/2024_FU_Kar_Bar_01_no_normalisation_Report.tsv") 

# read in metadata and tidy up columns
meta <- 
  read_excel(
    path = grep(files, pattern = "proteomics/Q96.+meta.xlsx", value = TRUE), 
    sheet = "Proteomics") %>% 
  mutate(
    fish_id = as.character(fish_id), 
    sex = toupper(sex) %>% as.factor(), 
    genotype = factor(
      genotype, 
      levels = c("wt", "EOfAD-like", "MPS IIIB")
    )
  ) %>% 
  dplyr::filter(fish_id != 8) %>% 
  mutate(
    geno_sex = paste0(genotype, "_", sex) %>% 
      factor(
        levels = c("wt_M", "MPS IIIB_M", "EOfAD-like_M", 
                   "wt_F", "MPS IIIB_F", "EOfAD-like_F" )
      )
  )

Annotations

I’ve come to learn that protein annotations (IDs etc) are very messy. So I’m going to do my best here to join

This hasnt worked. About half the detected proteins are not annotated with an ensembl ID. But I have nice gene name symbols, so will now try ensembl biomart.

biomart

# connect to biomart
mart <- useEnsembl(
  biomart="ensembl",
  dataset = "drerio_gene_ensembl")

# list all the attributes (e.g. columns) available for DL from biomart
# listAttributes(mart) %>% as_tibble() %>% view

# define what I want from biomart. 
# have to break it up as they only let you d/l 3 things at a time. 
attb2get.part1 = c("external_gene_name", "ensembl_gene_id",  "chromosome_name")
attb2get.part2 = c("ensembl_gene_id", "description",  "gene_biotype")
attb2get.part3 = c("ensembl_gene_id", "uniprotsptrembl",  "uniprot_gn_id")
attb2get.part4 = c("ensembl_gene_id", "uniprot_gn_symbol", "uniprotswissprot")
attb2get.part5 = c("external_gene_name", "start_position", "end_position")
attb2get.part6 = c("external_gene_name","hsapiens_homolog_associated_gene_name") # for converting for pathview since some KEGG pways dont have a zf map. 
    


 # filters
# listFilters(mart) %>% as_tibble() %>% view

bm.anno <- 
  getBM(
    attributes = attb2get.part1, 
    filters = 'external_gene_name', 
    values = data$PG.Genes %>% unique, 
    mart = mart) %>% 
  left_join(
    getBM(
      attributes = attb2get.part2, 
      filters = 'external_gene_name', 
      values = data$PG.Genes %>% unique, 
      mart = mart)
  ) %>% 
  as_tibble()

bm.anno.3 <- getBM(
  attributes = attb2get.part3, 
  filters = 'external_gene_name', 
  values = data$PG.Genes %>% unique, 
  mart = mart
  ) %>% 
  as_tibble()

bm.anno.4 <- getBM(
  attributes = attb2get.part4, 
  filters = 'external_gene_name', 
  values = data$PG.Genes %>% unique, 
  mart = mart
  ) %>% 
  as_tibble()

bm.anno.start.end <- getBM(
  attributes = attb2get.part5, 
  filters = 'external_gene_name', 
  values = data$PG.Genes %>% unique, 
  mart = mart
  ) %>% 
  as_tibble()

bm.dr2hs<- getBM(
  attributes = attb2get.part6, 
  filters = 'external_gene_name', 
  values = data$PG.Genes %>% unique, 
  mart = mart
  ) %>% 
  as_tibble()

all

t1 <- tibble(
    gene_name = data$PG.Genes
  )

t2 <- bm.anno %>% 
  dplyr::select(
    gene_name = external_gene_name, 
    gene_id = ensembl_gene_id)

t3 <- bm.anno.4 %>% 
  dplyr::select(
    gene_name = uniprot_gn_symbol, 
    gene_id = ensembl_gene_id
  )

# t4 <- ah %>% 
#   dplyr::select(
#     gene_name = SYMBOL, 
#     gene_id = ENSEMBL
#   )

# use all availale annotations so far
anno_all <- list(t1, t2, t3) %>% 
  purrr::reduce(full_join,.init = t1, by = "gene_name") %>% 
  # resolve duplicates 
  pivot_longer(
    names_to = "gene_id_temp", values_to = "gene_id", 
    starts_with("gene_id")
  ) %>% 
  dplyr::select(-gene_id_temp) %>% 
  na.omit() %>% 
  unique

The proteome which was used to annotate the MS peaks were from Uniprot: https://www.uniprot.org/proteomes/UP000000437

I found this table: https://www.uniprot.org/uniprotkb?query=(proteome:UP000000437), where I selected some relevant columns and downloaded the table. This is read in below.

# read in uniprot proteome data file
uniprot_proteome_annotation <- files %>% 
  grep(pattern  = "uniprot", value = TRUE) %>% 
  read_tsv() %>% 
  dplyr::rename("PG.ProteinNames" = `Entry Name` )

# tidy up the coumn names
uniprot_proteome_annotation %<>% 
  dplyr::select(
    gene_name = "Gene Names (primary)", 
    uniprot_id = Entry, 
    length = Length, 
    entrez = GeneID, 
    chromosome = Proteomes, 
    description = `Protein names`, 
    other_gene_names = `Gene Names`,
    ensembl_tx_id = Ensembl, 
    up_organism = PG.ProteinNames 
  
  ) %>% 
  mutate(
    chromosome = str_remove(chromosome, pattern = "UP000000437: "), 
    entrez = str_remove(entrez, pattern = ";"), 
  )
  
anno <- 
  data %>% 
    dplyr::rename(
      uniprot_id = PG.ProteinGroups
    ) %>% 
  left_join(uniprot_proteome_annotation, 
            by = "uniprot_id" ) %>% 
  dplyr::select(gene_name, uniprot_id, 
                colnames(uniprot_proteome_annotation)
  ) %>% 
  column_to_rownames("uniprot_id")

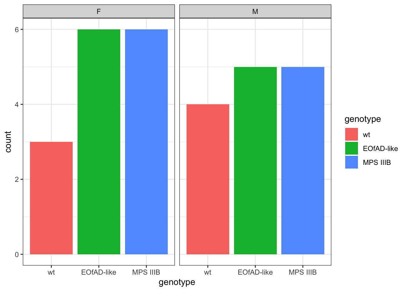
number of fish per genotype and sex

meta %>% 
  ggplot(
    aes(x = genotype, fill = genotype)
  ) +
  geom_bar() +
  facet_wrap(~sex)

data.long <- data %>% 
  pivot_longer(
    names_to = "sample", 
    values_to = "intensity", 
    starts_with("[")
  ) %>% 
  # need to create a new column  "fish_id", which matches with the metadata sheet. 
  mutate(
    fish_id = str_extract(
      sample, pattern = " [:digit:]{1,2}" 
    ) %>% 
      str_remove(pattern = " ") 
    ) %>% 
  dplyr::select(
    fish_id, PG.Genes, intensity, everything()
  ) %>% 
  left_join(meta) %>% 
  dplyr::filter(!is.na(genotype))


data.long.withQC <- data %>% 
  pivot_longer(
    names_to = "sample", 
    values_to = "intensity", 
    starts_with("[")
  ) %>% 
  # need to create a new column  "fish_id", which matches with the metadata sheet. 
  mutate(
    fish_id = str_extract(
      sample, pattern = " [:digit:]{1,2}" 
    ) %>% 
      str_remove(pattern = " ") 
    ) %>% 
  dplyr::select(
    fish_id, PG.Genes, intensity, everything()
  ) %>% 
  left_join(meta)

check missing values

# see how many proteins have missing values
proteins.with.missing.values <- data.long %>% 
  .[is.na(.$intensity),] %>% 
  .$PG.ProteinGroups %>% 
  unique

There are 1421 proteins with missing values total in this dataset.

This is all of the proteins, I next looked at whether any proteins were only present in at least one genotype. These are the protens which show this below. None are convincing neough to really be able to set the value to 0 in any of the other samples.

proteins.missing.perGeno <- 
  data.long %>% 
  group_by(PG.ProteinGroups, genotype) %>% 
  dplyr::filter(all(is.na(intensity))) %>% 
  .$PG.Genes %>% unique
  
  
data.long %>% 
  dplyr::filter(PG.Genes %in% proteins.missing.perGeno) %>% 
  ggplot(
    aes(x = geno_sex, y = intensity)
  ) +
  geom_boxplot(
    outlier.shape = NA
  ) +
  geom_point() +
  facet_wrap(~PG.Genes, scales = "free_y")

Proteins which have missing values are omitted for this analysis. Out of the 9,942 proteins detected, length(proteins.with.missing.values) %>% comma have missing values. I think this is OK.

data.wide <- 
  data.long %>% 
  dplyr::filter(fish_id %in% meta$fish_id) %>%
   dplyr::filter(!(PG.ProteinGroups %in% proteins.with.missing.values)) %>% 
  dplyr::select(fish_id, PG.ProteinGroups, intensity) %>% 
  pivot_wider(
    names_from = "fish_id", 
    values_from = "intensity"
  ) %>% 
  column_to_rownames("PG.ProteinGroups")



data.long %<>% 
  dplyr::filter(fish_id %in% meta$fish_id) %>%
  dplyr::filter(fish_id != 8) %>% 
  dplyr::filter(!(PG.ProteinGroups %in% proteins.with.missing.values))

Normalisation and transformation

I want to look at how I should normalise the data, a few ways I can do this. However, from the plots below, log-transformed and median normalised looks best.

raw data

data.long.withQC %>% 
  ggplot(
      aes(x = sample, y = intensity)
    ) +
    geom_boxplot(
      aes(fill = genotype)
    ) +
  ggtitle("raw data") +
  theme(
    axis.text.x = element_text(
      angle = -45, hjust = 0
    )
  )

# raw data
raw.boxplot <-   data.long %>% 
    ggplot(
      aes(x = fish_id, y = intensity)
    ) +
    geom_boxplot(
      aes(fill = genotype)
    ) +
  ggtitle("raw data")

raw.boxplot

log transformed

ggarrange(raw.boxplot, 
# log-transformed data
  data.long %>% 
  mutate(intensity = log2(intensity)) %>% 
    ggplot(
      aes(x = fish_id, y = intensity)
    ) +
    geom_boxplot(
      aes(fill = genotype)
    ) +
  labs(
    title = "log2 transformed"
  ), 
common.legend = TRUE, 
nrow = 2
)

log-transformed and quantile normalised

# quantile normaised and log-transformed
  data.long %>% 
    # convert to wide format to be able to quantile normalise.
    dplyr::select(fish_id, PG.ProteinGroups, intensity) %>% 
    mutate(intensity = log2(intensity)) %>% 
    pivot_wider(
      names_from = "fish_id", values_from = "intensity"
    ) %>% 
    column_to_rownames("PG.ProteinGroups") %>% 
    limma::normalizeBetweenArrays(method = "quantile") %>%
    as.data.frame() %>% 
    rownames_to_column("protein_id") %>% 
    # convert back to long. 
    pivot_longer(
      names_to = "fish_id", values_to = "intensity", 
      cols = data.long$fish_id %>% unique()
    ) %>% 
    left_join(meta) %>% 
    ggplot( 
      aes(x = fish_id, y = intensity)
    ) +
    geom_boxplot(
      aes(fill = genotype)
    ) +
  labs(
    title = "log2-transformed and quantile normalised"
  )

data.long.withQC %>% 
  dplyr::select(sample, PG.ProteinGroups, intensity) %>% 
  mutate(intensity = log2(intensity)) %>% 
  pivot_wider(
    names_from = "sample", values_from = "intensity"
  ) %>% 
  column_to_rownames("PG.ProteinGroups") %>% 
  limma::normalizeBetweenArrays(method = "quantile") %>% 
  as.data.frame() %>% 
  rownames_to_column("protein_id") %>% 
  # convert back to long. 
  pivot_longer(
    names_to = "sample", values_to = "intensity", 
    cols = data.long.withQC$sample %>% unique()
  ) %>% 
  ggplot( 
      aes(x = sample, y = intensity)
    ) +
    geom_boxplot(
    ) +
  labs(
    title = "log2-transformed and quantile normalised"
  ) +
  theme(
    axis.text.x = element_text(angle = -45, hjust = 0)
  )

log transformed and median normalised

# quantile normaised and log-transformed
  data.long %>% 
    # convert to wide format to be able to quantile normalise.
    dplyr::select(fish_id, PG.ProteinGroups, intensity) %>% 
    mutate(intensity = log2(intensity)) %>% 
    pivot_wider(
      names_from = "fish_id", values_from = "intensity"
    ) %>% 
    column_to_rownames("PG.ProteinGroups") %>% 
    limma::normalizeBetweenArrays(method = "scale") %>%
    as.data.frame() %>% 
    rownames_to_column("protein_id") %>% 
    # convert back to long. 
    pivot_longer(
      names_to = "fish_id", values_to = "intensity", 
      cols = data.long$fish_id %>% unique()
    ) %>% 
    left_join(meta) %>% 
    ggplot( 
      aes(x = fish_id, y = intensity)
    ) +
    geom_boxplot(
      aes(fill = genotype)
    ) +
  labs(
    title = "log2-transformed and median normalised"
  )

data.long.withQC %>% 
  dplyr::select(sample, PG.ProteinGroups, intensity) %>% 
  mutate(intensity = log2(intensity)) %>% 
  pivot_wider(
    names_from = "sample", values_from = "intensity"
  ) %>% 
  column_to_rownames("PG.ProteinGroups") %>% 
  limma::normalizeBetweenArrays(method = "scale") %>% 
  as.data.frame() %>% 
  rownames_to_column("protein_id") %>% 
  # convert back to long. 
  pivot_longer(
    names_to = "sample", values_to = "intensity", 
    cols = data.long.withQC$sample %>% unique()
  ) %>% 
  ggplot( 
      aes(x = sample, y = intensity)
    ) +
    geom_boxplot(
    ) +
  labs(
    title = "log2-transformed and median normalised"
  ) +
  theme(
    axis.text.x = element_text(angle = -45, hjust = 0)
  )

PCAs

I first want to use PCA to first get a feel for the overall similarity between samples. I also want to see which normalisation technique I should use.

PCA cant handle missing values, so only the proteins detected in all samples are used here.

ggarrange(
  # raw PCA
  data.wide %>% 
    t() %>% 
    prcomp %>% 
    autoplot(
      data = tibble(fish_id = rownames(.$x)) %>%
        left_join(meta),
      colour = "genotype",
      shape = "sex", 
      size = 4
    ) +
    ggtitle("raw data"), 
  
  # log transformed PCA
  data.long %>% 
    # convert to wide format to be able to quantile normalise.
    dplyr::select(fish_id, PG.ProteinGroups, intensity) %>% 
    mutate(intensity = log2(intensity)) %>% 
    pivot_wider(
      names_from = "fish_id", values_from = "intensity"
    ) %>% 
    column_to_rownames("PG.ProteinGroups") %>% 
    t() %>% 
    prcomp %>% 
    autoplot(
      data = tibble(fish_id = rownames(.$x)) %>%
        left_join(meta),
      colour = "genotype",
      shape = "sex", 
      size = 4
    ) +
    ggtitle("log-transformed data"), 
  
  # log-transformed and quantile normalised
  data.wide %>%
    limma::normalizeBetweenArrays(method = "quantile") %>% 
    t() %>% 
    prcomp %>% 
    autoplot(
      data = tibble(fish_id = rownames(.$x)) %>%
        left_join(meta),
      colour = "genotype",
      shape = "sex", 
      size = 4
    ) +
    ggtitle("log2-transformed, quantile-normalised data"),
  
  # log-transformed and median normalised
  data.wide %>%
    limma::normalizeBetweenArrays(method = "scale") %>% 
    t() %>% 
    prcomp %>% 
    autoplot(
      data = tibble(fish_id = rownames(.$x)) %>%
        left_join(meta),
      colour = "genotype",
      shape = "sex", 
      size = 4
    ) +
    ggtitle("log2-transformed, median-normalised data"), 
  
  common.legend = TRUE
)

Quantile normalization forces the entire empirical distribution of each column to be identical. Median normalisaiton forces the sample distributions to have the same median. From the PCA plots above, quantile normalisation appear to be the best as it gives the best seperation between groups. Median normalisation also looks okay.

PCAs by sex

Since there appears to be pretty clear sex effects, I will next look at the PCAs within each sex.

fem.fish.ids <- 
  meta %>% 
  dplyr::filter(sex == "F") %>% 
  .$fish_id

male.fish.ids <- 
  meta %>% 
  dplyr::filter(sex == "M") %>% 
  .$fish_id
ggarrange(
 
   data.wide %>%
    limma::normalizeBetweenArrays(method = "quantile") %>% 
    t() %>% 
    prcomp %>% 
    autoplot(
      data = tibble(fish_id = rownames(.$x)) %>%
        left_join(meta),
      colour = "genotype",
      shape = "sex",
      size = 4
    ) +
    labs(title = "All samps", 
   #      subtitle = "log2-transformed, median-normalised data"
   ), 
  
   data.wide %>%
    limma::normalizeBetweenArrays(method = "quantile") %>% 
    .[,fem.fish.ids] %>% 
    t() %>% 
    prcomp %>% 
    autoplot(
      data = tibble(fish_id = rownames(.$x)) %>%
        left_join(meta),
      colour = "genotype",
      size = 4
    ) +
    labs(title = "Females", 
         #subtitle = "log2-transformed, median-normalised data"
         ) , 
  
  data.wide %>%
    limma::normalizeBetweenArrays(method = "quantile") %>% 
    .[,male.fish.ids] %>% 
    t() %>% 
    prcomp %>% 
    autoplot(
      data = tibble(fish_id = rownames(.$x)) %>%
        left_join(meta),
      colour = "genotype",
      size = 4
    ) +
    labs(title = "Males", 
         #subtitle = "log2-transformed, median-normalised data"
         ), 
  common.legend = T, nrow = 1
)

There appears to be an outlier in both groups. But will leave it in.

PC1 is explained by MPS IIIB genotype in both sexes. PC1 explains about 30% of the total variation in the dataset, so MPS IIIB genotype is pretty severe effect on the brain proteoms.

DE protein analysis using limma

First, I need to put the data in a format usable for limma. I will use an expresisonSet object which will map the metadata and annotations.

meta4eset <- meta %>% 
  column_to_rownames("fish_id")

meta4eset <- new("AnnotatedDataFrame",data=meta4eset)

anno %<>% 
  mutate(uniprot_id = rownames(.)) %>% 
  dplyr::filter(!(uniprot_id %in% proteins.with.missing.values))
  
anno4eset <- new("AnnotatedDataFrame", data=anno)
eset <- ExpressionSet(
  assayData = data.wide %>% 
    log2() %>% 
    limma::normalizeBetweenArrays(method = "quantile"), 
  
  phenoData = meta4eset, 
  featureData = anno4eset
)

design and contrasts matrix

An intercept free design matrix and contrasts matix were generated so that i can performed pair-wise constrats between each mutant and their wild type sibs within sexes. A really nice ref explaining the bg knowledge about these are found here:

https://bioconductor.org/packages/release/workflows/vignettes/RNAseq123/inst/doc/designmatrices.html

# design matrix specifiying the groups
design <- model.matrix(~0 + geno_sex, data = pData(eset)) %>% 
  set_colnames(gsub(colnames(.), pattern = "geno_sex", replacement = "")) %>% 
  set_colnames(gsub(colnames(.), pattern = " ", replacement = "")) %>% 
  set_colnames(gsub(colnames(.), pattern = "-", replacement = ""))

# contrats matrix specifying the comparisons
contrasts <- makeContrasts( 
 
  MPSIIIB_M - wt_M , # effect of MPS IIIB in males
  MPSIIIB_F - wt_F, # effect of MPS IIIB in females
  
  EOfADlike_M - wt_M, # effect of EOfAD in males
  EOfADlike_F - wt_F, # effect of EOfAD in females
  
  # wt_M - wt_F, # effect of gender
  
  levels = design
  )

linear model fit with emperical bayes moderation

These functions are used to rank genes in order of evidence for differential expression. They use an empirical Bayes method to squeeze the protein-wise residual variances towards a common value (or towards a global trend) (Smyth, 2004; Phipson et al, 2016). The degrees of freedom for the individual variances are increased to reflect the extra information gained from the empirical Bayes moderation, resulting in increased statistical power to detect differential expression.

Toptables are called for each contrast, as defined in the design matrix.

lm.fit <- 
  lmFit(eset, design) %>% 
  contrasts.fit(contrasts) %>% 
  eBayes(robust = TRUE)

toptables <- colnames(contrasts) %>% 
  sapply(function(x) {
    topTable(
      lm.fit, 
      coef = x,
      adjust.method = "fdr" , 
      sort.by = "p", 
      Inf
    ) %>% 
      rownames_to_column("accession") %>% 
      left_join(
        anno %>% rownames_to_column("accession")
      ) %>%
      mutate(
        DE = adj.P.Val < 0.05, 
        coef = x
      ) %>% 
      dplyr::select(
        # put columns in a nice order, renaming some on the fly
        gene_name, logFC, AveExpr, t,
        pval = P.Value, FDR =  adj.P.Val, DE, coef, B, everything()
      ) %>%
      as_tibble
  }, simplify = F)

Visualisation

num of DE genes

toptables %>% 
  lapply(
    function(x) {
      x %>% 
        dplyr::filter(DE == T) %>% 
        nrow
    }
  ) %>% 
  bind_rows() %>% 
  as.data.frame() %>% 
  pivot_longer(
    names_to = "coef", 
    values_to = "nDE", 
    cols = everything()
  ) %>% 
  ggplot(
    aes(x = nDE, y = reorder(coef, nDE))
  ) + 
  geom_col()

volcano plots

toptables %>% 
 bind_rows() %>%
  ggplot(
    aes(x = logFC, y = -log10(pval))
    ) +
  geom_point(
    aes(colour = DE),
    alpha = 0.5) +
  facet_wrap(~coef) +
  scale_color_manual(values = c("grey50", "red"))

MD plots

toptables %>% 
  bind_rows() %>% 
  ggplot(
    aes(x = AveExpr, y = logFC)
    ) +
  geom_point(
    aes(colour = DE),
    alpha = 0.5) +
  geom_hline(yintercept = 0) +
  coord_cartesian(ylim = c(-2,2)) +
  geom_smooth(se = F) +
  facet_wrap(~coef) +
  scale_color_manual(values = c("grey50", "red"))

length check

In RNA-seq data, there is a known bias for gene length with differential expression. Longer genes have more reads aligning to them, and so have slightly increased statistical power.

This could be also true for proteomics data, where longer proteins would have more peptides in the pool. So first, I want to check the the t-statistic vs the protein length. The blue line of best fit hangs around 0, and so not really a bias here.

toptables %>% 
  bind_rows() %>% 
  mutate(
    length = as.numeric(length), 
  ) %>% 
  ggplot(aes(x = length, y = t)) +
  geom_point(
    aes(colour = DE),
    alpha = 0.5) +
  geom_hline(yintercept = 0) +
  geom_smooth(se = F) +
  coord_cartesian(xlim = c(0,5000)) +
  facet_wrap(~coef) +
  scale_color_manual(values = c("grey50", "red"))

Marten also says to look at the intensity of the proteins. This is reflected by the averageexp column calculated by limma.

Below are the plots of protein length by average expression. The line of best fit looks strange as there is a really long protein here.

toptables %>% 
  bind_rows() %>% 
  mutate(
    length = as.numeric(length), 
  ) %>% 
  ggplot(aes(x = length, y = AveExpr)) +
  geom_point(
    aes(colour = DE),
    alpha = 0.5) +
  geom_label_repel(
    aes(label = gene_name), 
    data = . %>% 
      dplyr::filter(length > 10000)
  ) +
  geom_hline(yintercept = 0) +
  geom_smooth(se = F) +
  #coord_cartesian(xlim = c(0,5000)) +
  facet_wrap(~coef) +
  scale_color_manual(values = c("grey50", "red"))

The same plots are geneated below, although this time only proteins less than 5000 AAs are kept. Short proteins appear to be more highly expressed.

toptables %>% 
  bind_rows() %>% 
  dplyr::filter(length < 5000) %>% 
  mutate(
    length = as.numeric(length), 
  ) %>% 
  ggplot(aes(x = length, y = AveExpr)) +
  geom_point(
    aes(colour = DE),
    alpha = 0.5) +
  geom_label_repel(
    aes(label = gene_name), 
    data = . %>% 
      dplyr::filter(length > 10000)
  ) +
  geom_smooth(se = F) +
  #coord_cartesian(xlim = c(0,1000)) +
  facet_wrap(~coef) +
  scale_color_manual(values = c("grey50", "red"))

Also looking at the raw intensity values in the QC samples (which is a pool of all my samples, run 3 different times throughout the MS run)

data.long.withQC %>% 
  dplyr::filter(
    grepl(sample, pattern = "QC"), 
    !is.na(intensity)
  ) %>% 
  left_join(anno %>% 
              dplyr::rename(PG.ProteinGroups = uniprot_id) ) %>% 
  ggplot(
    aes(x = length, y = intensity)
  ) +
  geom_point() +
  facet_wrap(~sample)

Within the QC sample,s the shorter proteins have higer intensity generally. But there are so many more shorter proteins.

data.long.withQC %>% 
  dplyr::filter(
    grepl(sample, pattern = "QC"), # only the QC samples
    !is.na(intensity), # any proteins not detected
    
  ) %>% 
  left_join(anno %>% 
              dplyr::rename(PG.ProteinGroups = uniprot_id) ) %>% 
  dplyr::filter(length < 5000) %>% # long proteins
  ggplot(
    aes(x = length, y = intensity)
  ) +
  geom_point() +
  geom_smooth() +
  facet_wrap(~sample)

Hmm.. talk with Marten about this.

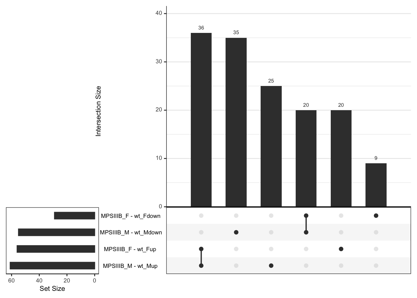
shared DEPs beween the sexes in MPS III

toptables[grep(names(toptables), value = TRUE, pattern = "MPS")] %>% 
  lapply(dplyr::filter, FDR < 0.05) %>% 
  lapply(function(x){
    x %>%
      mutate(Direction = case_when(
        sign(logFC) == "1" ~ "up",
        sign(logFC) == "-1" ~ "down"
      ))
  }) %>% 
  bind_rows() %>% 
  mutate(
    coef.dir = paste0(coef, Direction), .before = gene_name
    ) %>% 
  split(f = .$coef.dir) %>% 
  lapply(function(x) {
    x$accession %>% 
      na.omit
  }) %>% 
  fromList() %>% 
  upset(order.by = "freq")

Enrichment analyses

protein sets

KEGG

KEGG gene sets were obtaoned from MsigDB using msigdbr. Only proteins detected (without missing data) in this experiment were used as the background. KEGG gene sets were also filtered if they contained more than at least 4 proteins, as less than that is a bit hard to interpret biologically

KEGG <- 
  msigdbr("Danio rerio", category = "C2", subcategory = "CP:KEGG") %>% 
  distinct(gs_name, gene_symbol, .keep_all = TRUE) %>%
  dplyr::filter(gene_symbol %in% toptables$`MPSIIIB_M - wt_M`$gene_name) %>% 
  split(f = .$gs_name) %>%
  lapply(extract2, "gene_symbol")

# calculate the number of genes per gene set
sizes.KEGG <- KEGG %>% 
  lapply(length) %>% 
  unlist %>% 
  as.data.frame() %>% 
  set_colnames( "n_genes") %>% 
  rownames_to_column("gs")

# retain gene sets with at least 5 genes in it
KEGG <- KEGG[sizes.KEGG %>% dplyr::filter(n_genes >= 4) %>% .$gs]

Gene ontologies

Gene ontologies were also obtained from msigdbr. The ontologies were filtered to only contain those more than 3 nodes away from the root to reduce redundancy. Like the KEGG gene sets, the GO terms were filtered to only contain proteins detected in the analysis.

# GO Terms
goSummaries <- url("https://uofabioinformaticshub.github.io/summaries2GO/data/goSummaries.RDS") %>%
  readRDS() %>%
  mutate(
    Term = Term(id),
    gs_name = Term %>% str_to_upper() %>% str_replace_all("[ -]", "_"),
    gs_name = paste0("GO_", gs_name)
    )

minPath <- 3

GO <- 
  msigdbr("Danio rerio", category = "C5") %>%
  dplyr::filter(grepl(gs_name, pattern = "^GO")) %>%
  mutate(
    gs_fullname = gs_name,
    gs_name = str_replace(gs_name, pattern = "GOBP_", replacement = "GO_"),
    gs_name = str_replace(gs_name, pattern = "GOMF_", replacement = "GO_"), 
    gs_name = str_replace(gs_name, pattern = "GOCC_", replacement = "GO_")
  ) %>% 
  left_join(goSummaries) %>%
  dplyr::filter(shortest_path >= minPath) %>% 
  distinct(gs_name, gene_symbol, .keep_all = TRUE) %>%
  dplyr::select(gs_fullname, gene_symbol) %>% 
  dplyr::filter(gene_symbol %in% toptables$`MPSIIIB_M - wt_M`$gene_name) %>% 
  na.omit %>% 
  split(f = .$gs_fullname) %>%
  lapply(extract2, "gene_symbol")

# calculate the number of genes per gene set
sizes.GO <- GO %>% 
  lapply(length) %>% 
  unlist %>% 
  as.data.frame() %>% 
  set_colnames( "n_genes") %>% 
  rownames_to_column("gs")

# retain gene sets with at least 3 genes in it
GO <- GO[sizes.GO %>% dplyr::filter(n_genes > 3) %>% .$gs]  

cell type markers

Cell type marker proteins were obtained from Jiang et at. 2021.

cell_type_markers <- 
  read_xlsx("data/gene_sets/Suppdata2_jiangetal_2021_fcelldev.xlsx", sheet = "Brain") %>% 
  dplyr::rename("gene_name" = gene) %>% 
  dplyr::filter(gene_name %in% toptables$`MPSIIIB_M - wt_M`$gene_name) %>% 
  split(f = .$`cell type`) %>% 
  lapply(extract2, "gene_name")

chromosome protein sets

Also want to look at whether there are any chr-specific effects as we see in the RNAseq data.

chr <- anno %>% 
  as_tibble() %>% 
  mutate(
    chr = str_extract(chromosome, pattern = "\\d{1,2}"), # the first 1 or 2 numbers. 
  ) %>% 
  dplyr::select(gene_name, chromosome, chr) %>% 
  # only retain proteins detected in this exp.
  dplyr::filter(gene_name %in% toptables$`MPSIIIB_M - wt_M`$gene_name) %>% 
  split(f = .$chr) %>% 
  lapply(extract2, "gene_name")

IRE gene sets

I downloaded the IRE gene csv for zerbrafish described in Hin et al. from here https://github.com/nhihin/ire/blob/master/data/ire/zebrafish/zebrafishIreGenes.rds

This is a list of genes which contain IREs in their 5’ or 3’ UTR, and whether it is predicted as high quality or ot. The list is in ensembl gene ids, so need to convert to gene name.

ire_gene <- readRDS("data/gene_sets/zebrafishIreGenes.rds") %>% 
  unlist() %>% 
  as_tibble() %>% 
  set_colnames("ensembl_gene_id")

bm.ire <- 
  getBM(
    attributes = c("external_gene_name", "ensembl_gene_id"), 
    filters = 'ensembl_gene_id', 
    values = ire_gene$ensembl_gene_id %>% unique, 
    mart = mart)   

ire <- readRDS("data/gene_sets/zebrafishIreGenes.rds") %>% 
  lapply( function(x) {
    x %>% 
      as_tibble  %>%
      set_colnames("ensembl_gene_id") %>% 
      left_join(bm.ire) %>% 
      dplyr::filter(external_gene_name != "") %>% 
      .$external_gene_name %>% 
      unique()
  })

Over representation analysis using goseq

To test for over-representation of GO terms within the significantly DE proteins, I used goseq. For the bias data, I chose protein length, as longer proteins would have more peptides associated with them. Despite no obvious relationship between protein length and logFC/DE status.

pwfs <- toptables %>% 
  lapply(function(x) {
    x %>% 
      dplyr::filter(!is.na(gene_name)) %>% # omit proteins with no gene names
      dplyr::distinct(gene_name, .keep_all = TRUE) %>% 
      
      with(
        nullp(
          DEgenes = structure(DE, names = gene_name),
          bias.data = length,
        )
      )
  })

goseq <- pwfs %>% 
  sapply(function(x){
      goseq(x, gene2cat = GO) %>% 
      as_tibble() %>%
      dplyr::filter(numDEInCat > 0) %>%
      mutate(
        # a few protein sets show a pval of 0, which is not really right. 
        # probs a really small value would be suffient.  
        over_represented_pvalue = case_when(
          over_represented_pvalue == 0 ~  1e-50, 
          TRUE ~ over_represented_pvalue
        ), 
        FDR = p.adjust(over_represented_pvalue, method = "fdr")
        ) %>%
      dplyr::select(-under_represented_pvalue, 
                    pvalue = over_represented_pvalue)
    
  }, simplify = FALSE)

# add names to goseq tibbles
goseq %<>% 
  map2(names(.), ~.x %>% mutate(contrast = .y))


# define the interesting gene sets
goseq.sig.gs <- goseq %>% 
  bind_rows() %>% 
  dplyr::filter(grepl(contrast, pattern = "MPS")) %>% 
  dplyr::filter(FDR < 0.01) %>% 
  .$category %>% 
  unique

# plot the results
# goseq$`MPSIIIB_M - wt_M` %>% 
#   bind_rows(goseq$`MPSIIIB_F - wt_F`) %>% 
#   arrange(pvalue) %>% 
#   dplyr::filter(category %in% goseq.sig.gs) %>% 
#    mutate(
#     sig = FDR < 0.05, 
#     GO_type = case_when(
#       grepl(category, pattern = "^GOCC") ~ "CC", 
#       grepl(category, pattern = "^GOBP") ~ "BP", 
#       grepl(category, pattern = "^GOMF") ~ "MF"
#     ), 
#     category = str_remove(category, pattern = "GO\\w{2}_"), 
#     category = str_replace_all(category, pattern = "_", replacement = " "),
#     category = str_wrap(category, width = 46)
#   ) %>% 
#   ggplot(
#     aes(x = contrast, y = reorder(category,
#                                   X = -log10(pvalue)))
#   ) +
#   geom_tile(
#     aes(fill = -log10(pvalue), 
#         alpha = FDR < 0.05)
#   ) +
#   geom_label(
#     aes(label = signif(FDR, 2))
#   ) +
#   facet_wrap(~GO_type, scales = "free") +
#   scale_fill_viridis_c()

harmonic mean p

Consistency with the transctiptome will be applied here by calculating the HMP value of the KEGG gene sets.

# a function to run the HMP calculation. 
runHMP = function(
  geneset, 
  eset, 
  toptable, 
  design, 
  contrasts
  
) {
  
  # update the eset to have gene names as the rownames, 
  #as this is what im mapping to the gene sets
  fry.input <- exprs(eset) %>% 
  as.data.frame() %>% 
  rownames_to_column("uniprot_id") %>% 
  left_join(anno %>% 
              dplyr::select(gene_name, uniprot_id)) %>% 
  dplyr::distinct(gene_name, .keep_all = TRUE) %>% 
  dplyr::filter(!is.na(gene_name)) %>% 
  column_to_rownames("gene_name") %>% 
  dplyr::select(-uniprot_id)
 
  # run fry
  fry <- colnames(contrasts) %>% 
  sapply(function(y) {
    fry.input %>%
      limma::fry(
        index = geneset,
        design = design,
        contrast = contrasts[,y],
        sort = "mixed"
      ) %>%
      rownames_to_column("pathway") %>%
      as_tibble() %>% 
      mutate(coef = y) 
  }, simplify = FALSE)

  # run camera
  camera <- colnames(contrasts) %>% 
  sapply(function(y) {
    fry.input %>%
      limma::camera(
        index = geneset,
        design = design,
        contrast = contrasts[,y]
      ) %>%
      rownames_to_column("pathway") %>%
      as_tibble() %>% 
      mutate(coef = y) 
  }, simplify = FALSE)
  
  # create ranks for fgsea
  ranks <- toptables %>% 
     sapply(function(y) {
     y %>%
       arrange(t) %>%
       dplyr::select(gene_name, t) %>% #only want the Pvalue with sign
       with(structure(t, names = gene_name)) %>%
       rev() # reverse so the start of the list is upregulated genes
   }, simplify = FALSE)
  
  # run fgsea
  set.seed(1)
  fgsea <- ranks %>% 
  sapply(function(x){
    fgseaMultilevel(stats = x, 
                    pathways = geneset) %>%
      as_tibble() %>%
      dplyr::rename(FDR = padj) %>%
      mutate(padj = p.adjust(pval, "bonferroni")) %>%
      dplyr::select(pathway, pval, FDR, padj, everything()) %>%
      arrange(pval) 
  }, simplify = F)
  
  fgsea %<>% 
    map2(names(.), ~.x %>% mutate(coef = .y))  
  
  # calculate HMP
  hmp <- fry %>%
  bind_rows() %>%
  dplyr::select(pathway, PValue.Mixed, coef) %>%
  dplyr::rename(fry_p = PValue.Mixed) %>%
  left_join(camera %>%
              bind_rows() %>%
              dplyr::select(pathway, PValue, coef),
            by = c("pathway", "coef")) %>%
  dplyr::rename(camera_p = PValue) %>%
  left_join(fgsea %>%
              bind_rows() %>%
              dplyr::select(pathway, pval, coef),
            by = c("pathway", "coef")) %>%
  dplyr::rename(fgsea_p = pval) %>%
  bind_rows() %>%
  nest(p = one_of(c("fry_p", "camera_p", "fgsea_p"))) %>%
 mutate(harmonic_p = vapply(p, function(x){
        x <- unlist(x)
        x <- x[!is.na(x)]
        p.hmp(x, L = 4)
      }, numeric(1))
 ) %>%
  unnest() %>%
  mutate(harmonic_p_FDR = p.adjust(harmonic_p, "fdr"),
         sig = harmonic_p_FDR < 0.05) %>%
  arrange(harmonic_p)

return(list(hmp = hmp, 
            fgsea = fgsea))    
}

KEGG gene sets

hmp.kegg <- runHMP(
  geneset = KEGG, 
  eset = eset, 
  toptable = toptables, 
  design = design, 
  contrasts = contrasts
  )

# define sig paths
hmp.KEGG.sig.paths <- hmp.kegg$hmp %>% 
  dplyr::filter(coef != "wt_M - wt_F") %>% 
  dplyr::filter(harmonic_p_FDR < 0.03) %>% 
  .$pathway %>% 
  unique

hmp.kegg$hmp %>% 
  dplyr::filter(coef != "wt_M - wt_F") %>% 
  dplyr::filter(pathway %in% hmp.KEGG.sig.paths) %>% 
  mutate(
    sex = case_when(
      grepl(coef, pattern = "_F") ~ "female", 
      grepl(coef, pattern = "_M") ~ "male"
    )
  ) %>% 
  ggplot(
    aes(x = coef, y = reorder(pathway,
                                  X = -log10(harmonic_p)))
  ) +
  geom_tile(
    aes(fill = -log10(harmonic_p), alpha = sig)
  ) +
  geom_label(
    aes(label = signif(harmonic_p_FDR, 2))
  ) +
  scale_fill_viridis_c() +
  facet_wrap(~sex, scales = "free_x")

# define gs that are sig in at least 2 coefs
n.kegg.sig.hmp <- hmp.kegg$hmp %>% 
  dplyr::filter(coef != "wt_M - wt_F") %>% 
  dplyr::filter(harmonic_p_FDR < 0.05) %>% 
  group_by(pathway) %>% 
  summarise(n = n()) %>% 
  ungroup %>% 
  dplyr::filter(n > 1)


hmp.kegg$hmp %>% 
  #dplyr::filter(coef != "wt_M - wt_F") %>% 
  dplyr::filter(pathway %in% n.kegg.sig.hmp$pathway) %>% 
  mutate(
    sex = case_when(
      grepl(coef, pattern = "_F") ~ "female", 
      grepl(coef, pattern = "_M") ~ "male"
    ), 
    
    pathway = str_replace_all(pathway, pattern = "_", replacement = " "), 
    pathway = str_remove(pathway, pattern = "KEGG "), 
    pathway = str_wrap(pathway, width = 30), 
    coef = str_remove(coef, pattern = "- wt.+")
  ) %>% 
  ggplot(
    aes(x = coef, y = reorder(pathway,
                                  X = -log10(harmonic_p)))
  ) +
  geom_tile(
    aes(fill = -log10(harmonic_p), 
        #alpha = harmonic_p_FDR < 0.05
        ),
  ) +
  geom_label(
    aes(label = signif(harmonic_p_FDR, 2)), 
    data = . %>% 
      dplyr::filter(harmonic_p_FDR < 0.1)
  ) +
  scale_fill_viridis_c(
    option = "viridis"
  ) +
  facet_share(~sex, scales = "free_x") +
  labs(
    x = NA, 
    y = "KEGG pathway", 
    fill = "-log10(pvalue)", 
    alpha = "FDR < 0.05"
  ) +
  theme(
    axis.text.y = element_text(face = "bold"),
    axis.text.x = element_text(face = "bold"), 
    strip.text = element_text(face = "bold")
  )

hmp.kegg$hmp %>% 
  dplyr::filter(pathway %in% c(
    hmp.KEGG.sig.paths[1:10], 
     "KEGG_RIBOSOME", 
    "KEGG_COMPLEMENT_AND_COAGULATION_CASCADES"
  )) %>% 
  mutate(
    sex = case_when(
      grepl(coef, pattern = "_F") ~ "female", 
      grepl(coef, pattern = "_M") ~ "male"
    )
  ) %>% 
  ggplot(
    aes(x = coef, y = reorder(pathway,
                                  X = -log10(harmonic_p)))
  ) +
  geom_tile(
    aes(fill = -log10(harmonic_p), alpha = sig)
  ) +
  geom_label(
    aes(label = signif(harmonic_p_FDR, 2))
  ) +
  scale_fill_viridis_c() +
  facet_wrap(~sex, scales = "free_x") 

 # ggsave("output/plots4kim/proteomes6mo.png", 
 #         width = 18, height = 10, units = "cm", dpi = 600, scale = 2)

ribosome

ribo.adult <- 
  toptables %>% 
  bind_rows() %>% 
  dplyr::filter(gene_name %in% KEGG$KEGG_RIBOSOME) %>% 
  dplyr::filter(coef != "wt_M - wt_F") %>% 
  dplyr::select(gene_name, logFC, coef) %>% 
  dplyr::distinct(gene_name, coef, .keep_all = T) %>% 
  spread(key = "coef", value = "logFC") %>% 
  column_to_rownames("gene_name") %>% 
  t

ribo.hm <- draw(
  ComplexHeatmap::Heatmap(
    
    # df for input 
    ribo.adult,
    
    
    show_column_names = TRUE, 
    column_names_rot = 45, 
    
    column_title = "RIBOSOME",
    col = colorRamp2(
      breaks = seq(-0.3, 0.3, length.out = 100),
      colors = colorRampPalette(rev(brewer.pal(n = 7, name = "RdBu")))(100)
    ),
    name = "logFC", # name the legend
    
    cluster_rows = TRUE,  
    heatmap_legend_param = list(
      direction = "horizontal", 
      title_position = "topcenter"), 
    
    heatmap_width = unit(35, "cm"), 
    heatmap_height = unit(10, "cm"), 
  ),
  
  heatmap_legend_side = "top"

)

oxphos

oxphos.adult <- 
  toptables %>% 
  bind_rows() %>% 
  dplyr::filter(gene_name %in% KEGG$KEGG_OXIDATIVE_PHOSPHORYLATION) %>% 
  dplyr::filter(coef != "wt_M - wt_F") %>% 
  dplyr::select(gene_name, logFC, coef) %>% 
  dplyr::distinct(gene_name, coef, .keep_all = T) %>% 
  spread(key = "coef", value = "logFC") %>% 
  column_to_rownames("gene_name") %>% 
  t

oxphos.hm <- draw(
  ComplexHeatmap::Heatmap(
    
    # df for input 
    oxphos.adult,
    
    
    show_column_names = TRUE, 
    column_names_rot = 45, 
    
    column_title = "oxphos.adult",
    col = colorRamp2(
      breaks = seq(-0.3, 0.3, length.out = 100),
      colors = colorRampPalette(rev(brewer.pal(n = 7, name = "RdBu")))(100)
    ),
    name = "logFC", # name the legend
    
    cluster_rows = TRUE,  
    heatmap_legend_param = list(
      direction = "horizontal", 
      title_position = "topcenter"), 
    
    heatmap_width = unit(30, "cm"), 
    heatmap_height = unit(10, "cm"), 
  ),
  
  heatmap_legend_side = "top"

)

lysosome

lyso.adult <- 
  toptables %>% 
  bind_rows() %>% 
  dplyr::filter(gene_name %in% KEGG$KEGG_LYSOSOME) %>% 
  dplyr::filter(coef != "wt_M - wt_F") %>% 
  dplyr::select(gene_name, logFC, coef) %>% 
  dplyr::distinct(gene_name, coef, .keep_all = T) %>% 
  spread(key = "coef", value = "logFC") %>% 
  column_to_rownames("gene_name") 

ribo.hm <- draw(
  ComplexHeatmap::Heatmap(
    
    # df for input 
    lyso.adult,
    
    
    show_column_names = TRUE, 
    column_names_rot = 45, 
    
    column_title = "LYSOSOME",
    col = colorRamp2(
      breaks = seq(-01, 01, length.out = 100),
      colors = colorRampPalette(rev(brewer.pal(n = 7, name = "RdBu")))(100)
    ),
    name = "logFC", # name the legend
    
    cluster_rows = TRUE,  
    
    heatmap_legend_param = list(
      direction = "vertical", 
      title_position = "topleft", 
       legend_height = unit(4, "cm")
      ), 
    
    heatmap_width = unit(10, "cm"), 
    heatmap_height = unit(20, "cm"), 
  ),
  
  heatmap_legend_side = "right"

)

KEGG_FC_GAMMA_R_MEDIATED_PHAGOCYTOSIS

phago.adult <- 
  toptables %>% 
  bind_rows() %>% 
  dplyr::filter(gene_name %in% KEGG$KEGG_FC_GAMMA_R_MEDIATED_PHAGOCYTOSIS) %>% 
  dplyr::filter(coef != "wt_M - wt_F") %>% 
  dplyr::select(gene_name, logFC, coef) %>% 
  dplyr::distinct(gene_name, coef, .keep_all = T) %>% 
  spread(key = "coef", value = "logFC") %>% 
  column_to_rownames("gene_name") 

phago.hm <- draw(
  ComplexHeatmap::Heatmap(
    
    # df for input 
    phago.adult,
    
    
    show_column_names = TRUE, 
    column_names_rot = 45, 
    
    column_title = "KEGG_FC_GAMMA_R_MEDIATED_PHAGOCYTOSIS",
    col = colorRamp2(
      breaks = seq(-0.5, 0.5, length.out = 100),
      colors = colorRampPalette(rev(brewer.pal(n = 7, name = "RdBu")))(100)
    ),
    name = "logFC", # name the legend
    
    cluster_rows = TRUE,  
    
    heatmap_legend_param = list(
      direction = "vertical", 
      title_position = "topleft", 
       legend_height = unit(4, "cm")
      ), 
    
    heatmap_width = unit(10, "cm"), 
    heatmap_height = unit(25, "cm"), 
  ),
  
  heatmap_legend_side = "right"

)

cell type marker gene sets

fry.input <- exprs(eset) %>% 
  as.data.frame() %>% 
  rownames_to_column("uniprot_id") %>% 
  left_join(anno %>% 
              dplyr::select(gene_name, uniprot_id)) %>% 
  dplyr::distinct(gene_name, .keep_all = TRUE) %>% 
  dplyr::filter(!is.na(gene_name)) %>% 
  column_to_rownames("gene_name") %>% 
  dplyr::select(-uniprot_id)

fry.cell <- colnames(contrasts) %>%  
  sapply(function(y) { 
    fry.input %>% 
      limma::fry( 
        index = cell_type_markers, 
        design = design, 
        contrast = contrasts[,y], 
        sort = "directional" 
      ) %>% 
      rownames_to_column("pathway") %>% 
      as_tibble() %>%  
      mutate(coef = y)  
  }, simplify = FALSE) 

# keep this to get theleadingEdege genes
hmp.cell <- runHMP(
  geneset = cell_type_markers,
  eset = eset,
  toptable = toptables,
  design = design,
  contrasts = contrasts
  )

fry.cell %>% 
  bind_rows() %>% 
  dplyr::filter(coef != "wt_M - wt_F") %>% 
  ggplot(
    aes(x = coef, y = reorder(pathway,
                              X = -log10(PValue)))
  ) +
  geom_tile(
    aes(fill = -log10(PValue), alpha = FDR < 0.05)
  ) +
  geom_label(
    aes(label = signif(FDR, 2))
  ) +
  scale_fill_viridis_c()

  facet_wrap(~sex, scales = "free_x")
<ggproto object: Class FacetWrap, Facet, gg>
    compute_layout: function
    draw_back: function
    draw_front: function
    draw_labels: function
    draw_panels: function
    finish_data: function
    init_scales: function
    map_data: function
    params: list
    setup_data: function
    setup_params: function
    shrink: TRUE
    train_scales: function
    vars: function
    super:  <ggproto object: Class FacetWrap, Facet, gg>

leadingEdge gene overlaps.

# svg("output/plots4pub3/celltype_protein_fems_LeadingEdgeUpSet.svg", 
#     width = 5, height = 5)
# females
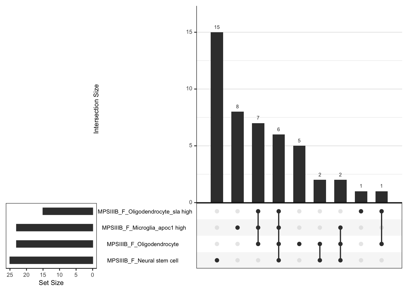
hmp.cell$fgsea %>%
  bind_rows() %>% 
  dplyr::filter(coef %in% grep(coef, pattern = "MPS", value = TRUE)) %>% 
  dplyr::filter(pathway %in% 
                  c("Oligodendrocyte", "Oligodendrocyte_sla high", 
                    "Microglia_apoc1 high", "Neural stem cell")) %>% 
  mutate(
    coef = str_remove(coef, pattern = " - wt.+"),
    coef_cell = paste0(coef, "_", pathway)
  ) %>% 
  dplyr::select(coef_cell, leadingEdge) %>% 
  dplyr::filter(
    coef_cell == grep(coef_cell, pattern = "_F_", value = TRUE)
  ) %>% 
  split(f = .$coef_cell) %>% 
  lapply(function(x) {x$leadingEdge}[[1]]) %>% 
  fromList() %>% 
  upset(order.by = "freq",nsets = 4)

# dev.off()
# svg("output/plots4pub3/celltype_protein_males_LeadingEdgeUpSet.svg", 
#     width = 7, height = 5)
# males
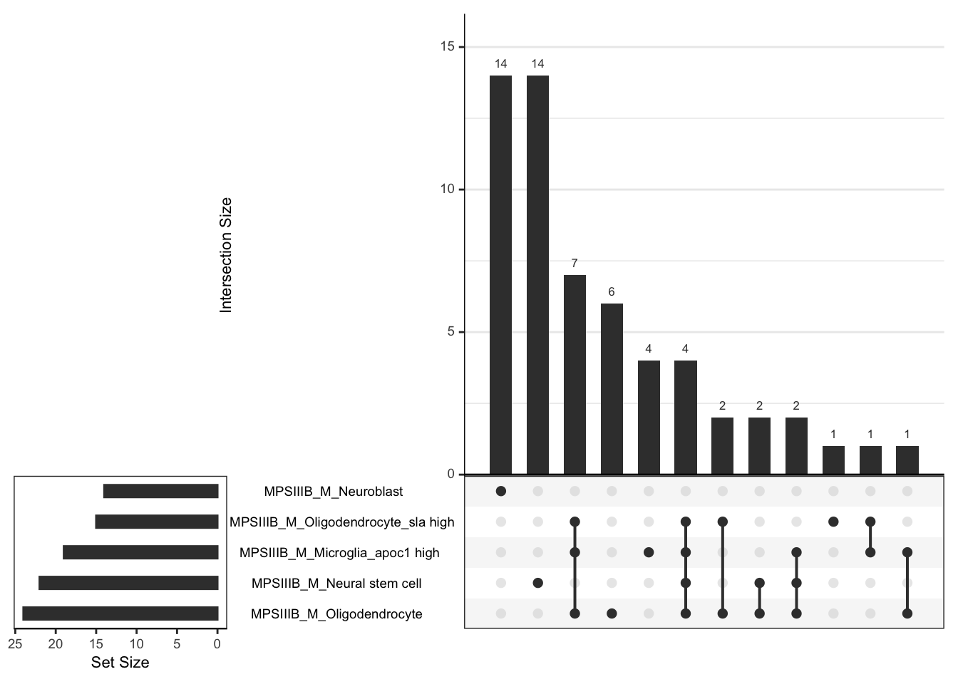
hmp.cell$fgsea %>%
  bind_rows() %>% 
  dplyr::filter(coef %in% grep(coef, pattern = "MPS", value = TRUE)) %>% 
  dplyr::filter(pathway %in% 
                  c("Oligodendrocyte", "Oligodendrocyte_sla high", 
                    "Microglia_apoc1 high", "Neural stem cell", 
                    "Macrophage_grn1 high", "Neuroblast", 
                    "Meningeal mural lymphatic endothelial cell"
                    )) %>% 
  mutate(
    coef = str_remove(coef, pattern = " - wt.+"),
    coef_cell = paste0(coef, "_", pathway)
  ) %>% 
  dplyr::select(coef_cell, leadingEdge) %>% 
  dplyr::filter(
    coef_cell == grep(coef_cell, pattern = "_M_", value = TRUE)
  ) %>% 
  split(f = .$coef_cell) %>% 
  lapply(function(x) {x$leadingEdge}[[1]]) %>% 
  fromList() %>% 
  upset(order.by = "freq")

# dev.off()
cell.leadingEdge.protein <- hmp.cell$fgsea %>% 
  bind_rows() %>% 
  dplyr::filter(
    coef %in% grep(coef, pattern = "MPS", value = TRUE), 
    pathway %in% c(
      "Oligodendrocyte", "Oligodendrocyte_sla high", 
      "Microglia_apoc1 high", "Neural stem cell", 
      "Macrophage_grn1 high", "Meningeal mural lymphatic endothelial cell", 
      "Neuroblast"
    )) %>% 
  mutate(
    coef = str_remove(coef, pattern = " - wt.+"),
    coef_cell = paste0(coef, "_", pathway)
  ) %>% 
  split(f = .$coef_cell) %>% 
  lapply(function(x) {
    x$leadingEdge[[1]]
  })


  
leadingEdge.F.proteins <- intersect(
  cell.leadingEdge.protein$`MPSIIIB_F_Microglia_apoc1 high`, 
  cell.leadingEdge.protein$MPSIIIB_F_Oligodendrocyte) %>% 
  intersect(
  cell.leadingEdge.protein$`MPSIIIB_F_Neural stem cell`) %>% 
  intersect(cell.leadingEdge.protein$`MPSIIIB_F_Oligodendrocyte_sla high`)

leadingEdge.F.proteins <- c(
  leadingEdge.F.proteins, 
  
  intersect(
    cell.leadingEdge.protein$`MPSIIIB_F_Microglia_apoc1 high`, 
    cell.leadingEdge.protein$MPSIIIB_F_Oligodendrocyte) %>% 
    intersect(cell.leadingEdge.protein$`MPSIIIB_F_Oligodendrocyte_sla high`), 
  
    intersect(
    cell.leadingEdge.protein$`MPSIIIB_F_Microglia_apoc1 high`, 
    cell.leadingEdge.protein$MPSIIIB_F_Oligodendrocyte) %>% 
    intersect(cell.leadingEdge.protein$`MPSIIIB_F_Neural stem cell`)
  ) %>%  
  unique()





leadingEdge.M.proteins <- intersect(
  cell.leadingEdge.protein$`MPSIIIB_M_Microglia_apoc1 high`, 
  cell.leadingEdge.protein$MPSIIIB_M_Oligodendrocyte) %>% 
  intersect(
    cell.leadingEdge.protein$`MPSIIIB_M_Neural stem cell`) %>% 
  intersect(
    cell.leadingEdge.protein$`MPSIIIB_F_Oligodendrocyte_sla high`) 

leadingEdge.M.proteins %<>% 
  c(
    intersect(
      cell.leadingEdge.protein$`MPSIIIB_M_Oligodendrocyte_sla high`, 
      cell.leadingEdge.protein$`MPSIIIB_M_Microglia_apoc1 high`) %>% 
      intersect(
      cell.leadingEdge.protein$MPSIIIB_M_Oligodendrocyte
    )
    
    
    
  ) %>% unique()

# svg("output/plots4pub3/sharedleadingEdge_F.svg")
toptables %>% 
  bind_rows() %>% 
  dplyr::filter(gene_name %in% leadingEdge.F.proteins) %>% 
  tidyHeatmap::heatmap(
    .row = coef, 
    .column = gene_name, 
    .value = logFC, 
    
    # colours
    palette_value = circlize::colorRamp2(
      seq(-1, 1, length.out = 11),
      rev(RColorBrewer::brewer.pal(11, "RdBu"))),
    rect_gp = grid::gpar(col = "#161616", lwd = 0.5),
    
    # sizes
    row_names_gp = gpar(fontsize = 14),
    column_names_gp = gpar(fontsize = 14),
    heatmap_width = unit(15, "cm"),
    heatmap_height = unit(10, "cm"),
  )

# dev.off()  

# svg("output/plots4pub3/sharedleadingEdge_M.svg")
toptables %>% 
  bind_rows() %>% 
  dplyr::filter(gene_name %in% leadingEdge.M.proteins) %>% 
  tidyHeatmap::heatmap(
    .row = coef, 
    .column = gene_name, 
    .value = logFC, 
    
    # colours
    palette_value = circlize::colorRamp2(
      seq(-1, 1, length.out = 11),
      rev(RColorBrewer::brewer.pal(11, "RdBu"))),
    rect_gp = grid::gpar(col = "#161616", lwd = 0.5),
    
    # sizes
    row_names_gp = gpar(fontsize = 14),
    column_names_gp = gpar(fontsize = 14),
    heatmap_width = unit(15, "cm"),
    heatmap_height = unit(10, "cm"),
  )

# dev.off()  

IRE gene sets

ire.hmp <- runHMP(
  geneset = ire, 
  eset = eset, 
  toptable = toptables, 
  design = design, 
  contrasts = contrasts)

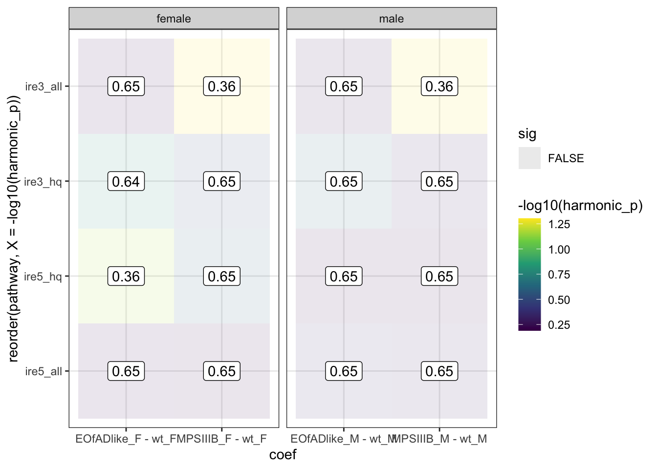
ire.hmp$hmp %>% 
  bind_rows() %>% 
  mutate(
    sex = case_when(
      grepl(coef, pattern = "_F") ~ "female",
      grepl(coef, pattern = "_M") ~ "male"
    )
  ) %>%
  ggplot(
    aes(x = coef, y = reorder(pathway,
                                  X = -log10(harmonic_p)))
  ) +
  geom_tile(
    aes(fill = -log10(harmonic_p), alpha = sig)
  ) +
  geom_label(
    aes(label = signif(harmonic_p_FDR, 2))
  ) +
  scale_fill_viridis_c() +
  facet_wrap(~sex, scales = "free_x")

chromosome gene sets.

fry.chr <- colnames(contrasts) %>%  
  sapply(function(y) { 
    fry.input %>% 
      limma::fry( 
        index = chr, 
        design = design, 
        contrast = contrasts[,y], 
        sort = "directional" 
      ) %>% 
      rownames_to_column("pathway") %>% 
      as_tibble() %>%  
      mutate(coef = y)  
  }, simplify = FALSE) 

fry.chr %>% 
  bind_rows() %>% 
  mutate(
   pathway = factor(pathway, levels = c(1:26, "mt")), 
   chr = as.numeric(pathway)
  ) %>%
  ggplot(
    aes(x = coef, y = reorder(pathway, -chr))
  ) +
  geom_tile(
    aes(fill = -log10(PValue), alpha = FDR < 0.05)
  ) +
  geom_label(
    aes(label = signif(FDR, 2))
  ) +
  scale_fill_viridis_c() +
  labs(
    title = "fry - directional"
  )

fry.chr %>% 
  bind_rows() %>% 
  mutate(
   pathway = factor(pathway, levels = c(1:26, "mt")), 
   chr = as.numeric(pathway)
  ) %>%
  ggplot(
    aes(x = coef, y = reorder(pathway, -chr))
  ) +
  geom_tile(
    aes(fill = -log10(PValue.Mixed), alpha = FDR.Mixed < 0.05)
  ) +
  geom_label(
    aes(label = signif(FDR.Mixed, 2))
  ) +
  scale_fill_viridis_c() +
  labs(
    title = "fry - mixed"
  )

Directional and mixed, significant changes to the expression of genes are observed

Have a look at Manhattan plots to see if there are peaks along these chromosomes

manhattan plots

MPS IIIB males

manhat.input.naglu.males <- 
  toptables$`MPSIIIB_M - wt_M` %>% 
  mutate(
    chr = str_extract(chromosome, pattern = "\\d{1,2}"), 
    .after = chromosome
  ) %>% 
  left_join(
    bm.anno.start.end %>% 
      dplyr::rename(gene_name = external_gene_name) %>% 
      dplyr::distinct(gene_name, .keep_all = TRUE)
  ) %>% 
  dplyr::filter(chr %in% 1:25) %>% 
  mutate(
    chr = factor(chr, levels = 1:25)
  ) %>% 
  # select rows of interest in order
  dplyr::select(
    gene_name, logFC, pval, DE, chr, start = start_position, end = end_position, 
    everything()
  ) %>% 
  # calculate the midpoint of each gene 
  group_by(gene_name) %>% 
  mutate(
    mid = mean(c(start, end)), .after = end
    ) %>% 
  ungroup %>% 
  # get rid of any genes which do not have a mid point
  dplyr::filter(
    !is.na(mid)
  ) %>% 
  # calculate the cumulative sum per chromosomes
  group_by(chr)  %>% 
  arrange(chr, mid) %>% 
  mutate(
    chrLen = max(mid), 
    chr.mid.cum = min(start) + mid,
    .after = mid
    ) %>% 
  # calculate the cumulative length overall. 
  dplyr::arrange(chr, mid) %>% 
  ungroup() %>% 
  mutate(
    midCum = lag(cumsum(chr.mid.cum)), .after = chr.mid.cum
    )
  
axis.nagmales <- 
  manhat.input.naglu.males %>%
  group_by(chr) %>%
  dplyr::arrange(chr) %>% 
  summarize(center = (max(midCum) + min(midCum)) / 2) %>% 
  mutate(
    seqnames = as.numeric(chr),
    colour = rep(c("grey40", "black"), length.out = 25)
  )

sig.chrs.naglu.males <- fry.chr$`MPSIIIB_M - wt_M` %>% 
  dplyr::filter(FDR < 0.05) %>% 
  .$pathway

ggplot(manhat.input.naglu.males, 
       aes(x = midCum, y = -log10(pval))
       ) +
  
  geom_point(
    aes(color = chr, size = DE), 
    alpha = 0.5, size = 1) +
  
  geom_point(
    alpha = 0.5, size = 1, colour = "red", 
    data = . %>% 
      dplyr::filter(chr == 24)
  ) +
  
  geom_point(
    alpha = 0.5, size = 1, colour = "green", 
    data = . %>% 
      dplyr::filter(chr == sig.chrs.naglu.males[1])
  ) +
  
  geom_point(
    alpha = 0.5, size = 1, colour = "green2", 
    data = . %>% 
      dplyr::filter(chr == sig.chrs.naglu.males[2])
  ) +
  
  scale_color_manual(values = axis.nagmales$colour) +
  scale_x_continuous(label = axis.nagmales$chr, 
                     breaks = axis.nagmales$center) +
  # scale_y_continuous(limits =c(0, 10)) + # zoom in
  facet_wrap(~coef, ncol = 1) +
  labs(x = "Chromosome", y = expression(paste(-log[10], "(p)"))) +
  theme( 
    legend.position="none",
    panel.border = element_blank(),
    panel.grid.major.x = element_blank(),
    panel.grid.minor.x = element_blank()
  ) 

MPS IIIB females

manhat.input.naglu.females <- 
  toptables$`MPSIIIB_F - wt_F` %>% 
  mutate(
    chr = str_extract(chromosome, pattern = "\\d{1,2}"), 
    .after = chromosome
  ) %>% 
  left_join(
    bm.anno.start.end %>% 
      dplyr::rename(gene_name = external_gene_name) %>% 
      dplyr::distinct(gene_name, .keep_all = TRUE)
  ) %>% 
  dplyr::filter(chr %in% 1:25) %>% 
  mutate(
    chr = factor(chr, levels = 1:25)
  ) %>% 
  # select rows of interest in order
  dplyr::select(
    gene_name, logFC, pval, DE, chr, start = start_position, end = end_position, 
    everything()
  ) %>% 
  # calculate the midpoint of each gene 
  group_by(gene_name) %>% 
  mutate(
    mid = mean(c(start, end)), .after = end
    ) %>% 
  ungroup %>% 
  # get rid of any genes which do not have a mid point
  dplyr::filter(
    !is.na(mid)
  ) %>% 
  # calculate the cumulative sum per chromosomes
  group_by(chr)  %>% 
  arrange(chr, mid) %>% 
  mutate(
    chrLen = max(mid), 
    chr.mid.cum = min(start) + mid,
    .after = mid
    ) %>% 
  # calculate the cumulative length overall. 
  dplyr::arrange(chr, mid) %>% 
  ungroup() %>% 
  mutate(
    midCum = lag(cumsum(chr.mid.cum)), .after = chr.mid.cum
    )
  
axis.nafegmales <- 
  manhat.input.naglu.females %>%
  group_by(chr) %>%
  dplyr::arrange(chr) %>% 
  summarize(center = (max(midCum) + min(midCum)) / 2) %>% 
  mutate(
    seqnames = as.numeric(chr),
    colour = rep(c("grey40", "black"), length.out = 25)
  )

fry.chr$`MPSIIIB_F - wt_F`
# A tibble: 25 × 8
   pathway NGenes Direction   PValue    FDR PValue.Mixed FDR.Mixed coef         
   <chr>    <int> <chr>        <dbl>  <dbl>        <dbl>     <dbl> <chr>        
 1 15         280 Down      0.000428 0.0107    0.0000456  0.000285 MPSIIIB_F - …
 2 13         325 Up        0.00569  0.0711    0.0000151  0.000126 MPSIIIB_F - …
 3 5          495 Up        0.00896  0.0747    0.0000613  0.000306 MPSIIIB_F - …
 4 1          364 Up        0.0199   0.124     0.000884   0.00276  MPSIIIB_F - …
 5 17         289 Up        0.0354   0.163     0.170      0.177    MPSIIIB_F - …
 6 25         246 Up        0.0392   0.163     0.0709     0.0844   MPSIIIB_F - …
 7 16         371 Up        0.0636   0.227     0.000460   0.00164  MPSIIIB_F - …
 8 2          400 Up        0.142    0.388     0.000180   0.000751 MPSIIIB_F - …
 9 7          414 Up        0.143    0.388     0.0472     0.0635   MPSIIIB_F - …
10 21         312 Up        0.155    0.388     0.00452    0.0125   MPSIIIB_F - …
# ℹ 15 more rows
ggplot(manhat.input.naglu.females, 
       aes(x = midCum, y = -log10(pval))
       ) +
  geom_point(
    aes(color=chr), 
    alpha = 0.5, size = 1) +
  
  geom_point(
    alpha = 0.5, size = 1, colour = "red", 
    data = . %>% 
      dplyr::filter(chr == 24)
  ) +
  
  geom_point(
    alpha = 0.5, size = 1, colour = "green2", 
    data = . %>% 
      dplyr::filter(chr == sig.chrs.naglu.males[2])
  ) +
  scale_color_manual(values = axis.nafegmales$colour) +
  scale_x_continuous(label = axis.nafegmales$chr, 
                     breaks = axis.nafegmales$center) +
  facet_wrap(~coef, ncol = 1) +
  labs(x = "Chromosome", y = expression(paste(-log[10], "(p)"))) +
  theme( 
    legend.position="none",
    panel.border = element_blank(),
    panel.grid.major.x = element_blank(),
    panel.grid.minor.x = element_blank()
  ) 

EOfAD-like males

manhat.input.psen1.males <- 
  toptables$`EOfADlike_M - wt_M` %>% 
  mutate(
    chr = str_extract(chromosome, pattern = "\\d{1,2}"), 
    .after = chromosome
  ) %>% 
  left_join(
    bm.anno.start.end %>% 
      dplyr::rename(gene_name = external_gene_name) %>% 
      dplyr::distinct(gene_name, .keep_all = TRUE)
  ) %>% 
  dplyr::filter(chr %in% 1:25) %>% 
  mutate(
    chr = factor(chr, levels = 1:25)
  ) %>% 
  # select rows of interest in order
  dplyr::select(
    gene_name, logFC, pval, DE, chr, start = start_position, end = end_position, 
    everything()
  ) %>% 
  # calculate the midpoint of each gene 
  group_by(gene_name) %>% 
  mutate(
    mid = mean(c(start, end)), .after = end
    ) %>% 
  ungroup %>% 
  # get rid of any genes which do not have a mid point
  dplyr::filter(
    !is.na(mid)
  ) %>% 
  # calculate the cumulative sum per chromosomes
  group_by(chr)  %>% 
  arrange(chr, mid) %>% 
  mutate(
    chrLen = max(mid), 
    chr.mid.cum = min(start) + mid,
    .after = mid
    ) %>% 
  # calculate the cumulative length overall. 
  dplyr::arrange(chr, mid) %>% 
  ungroup() %>% 
  mutate(
    midCum = lag(cumsum(chr.mid.cum)), .after = chr.mid.cum
    )
  
axis.psenmales <- 
  manhat.input.psen1.males %>%
  group_by(chr) %>%
  dplyr::arrange(chr) %>% 
  summarize(center = (max(midCum) + min(midCum)) / 2) %>% 
  mutate(
    seqnames = as.numeric(chr),
    colour = rep(c("grey40", "black"), length.out = 25)
  )

ggplot(manhat.input.psen1.males, 
       aes(x = midCum, y = -log10(pval))
       ) +
  geom_point(
    aes(color=chr), 
    alpha = 0.5, size = 1) +
  geom_point(
    alpha = 0.5, size = 1, colour = "red", 
    data = . %>% 
      dplyr::filter(chr == 17)
  ) +
  scale_color_manual(values = axis.psenmales$colour) +
  scale_x_continuous(label = axis.psenmales$chr, 
                     breaks = axis.psenmales$center) +
  # scale_y_continuous(limits =c(0, 10)) + # zoom in
  facet_wrap(~coef, ncol = 1) +
  labs(x = "Chromosome", y = expression(paste(-log[10], "(p)"))) +
  theme( 
    legend.position="none",
    panel.border = element_blank(),
    panel.grid.major.x = element_blank(),
    panel.grid.minor.x = element_blank()
  ) 

EOfAD-like females

manhat.input.psen1.females <- 
  toptables$`EOfADlike_F - wt_F` %>% 
  mutate(
    chr = str_extract(chromosome, pattern = "\\d{1,2}"), 
    .after = chromosome
  ) %>% 
  left_join(
    bm.anno.start.end %>% 
      dplyr::rename(gene_name = external_gene_name) %>% 
      dplyr::distinct(gene_name, .keep_all = TRUE)
  ) %>% 
  dplyr::filter(chr %in% 1:25) %>% 
  mutate(
    chr = factor(chr, levels = 1:25)
  ) %>% 
  # select rows of interest in order
  dplyr::select(
    gene_name, logFC, pval, DE, chr, start = start_position, end = end_position, 
    everything()
  ) %>% 
  # calculate the midpoint of each gene 
  group_by(gene_name) %>% 
  mutate(
    mid = mean(c(start, end)), .after = end
    ) %>% 
  ungroup %>% 
  # get rid of any genes which do not have a mid point
  dplyr::filter(
    !is.na(mid)
  ) %>% 
  # calculate the cumulative sum per chromosomes
  group_by(chr)  %>% 
  arrange(chr, mid) %>% 
  mutate(
    chrLen = max(mid), 
    chr.mid.cum = min(start) + mid,
    .after = mid
    ) %>% 
  # calculate the cumulative length overall. 
  dplyr::arrange(chr, mid) %>% 
  ungroup() %>% 
  mutate(
    midCum = lag(cumsum(chr.mid.cum)), .after = chr.mid.cum
    )
  
axis.psenfemales <- 
  manhat.input.psen1.females %>%
  group_by(chr) %>%
  dplyr::arrange(chr) %>% 
  summarize(center = (max(midCum) + min(midCum)) / 2) %>% 
  mutate(
    seqnames = as.numeric(chr),
    colour = rep(c("grey40", "black"), length.out = 25)
  )

ggplot(manhat.input.psen1.females, 
       aes(x = midCum, y = -log10(pval))
       ) +
  geom_point(
    aes(color=chr), 
    alpha = 0.5, size = 1) +
  geom_point(
    alpha = 0.5, size = 1, colour = "red", 
    data = . %>% 
      dplyr::filter(chr == 17)
  ) +
  scale_color_manual(values = axis.psenfemales$colour) +
  scale_x_continuous(label = axis.psenfemales$chr, 
                     breaks = axis.psenfemales$center) +
  # scale_y_continuous(limits =c(0, 10)) + # zoom in
  facet_wrap(~coef, ncol = 1) +
  labs(x = "Chromosome", y = expression(paste(-log[10], "(p)"))) +
  theme( 
    legend.position="none",
    panel.border = element_blank(),
    panel.grid.major.x = element_blank(),
    panel.grid.minor.x = element_blank()
  ) 

compare protein and mRNA

read in the gene expr and toptables

dge <- readRDS("data/R_objects/adult_brain/dge.rds")

toptables.mRNA.adult <- readRDS("data/R_objects/adult_brain/toptablescqn.rds")

Compare fold changle values for same comparison

plotmRNAvProtein = function(toptable.protein, toptable.mRNA) {
  
  toptable.protein %>% 
  dplyr::select(
    gene_name, logFC.protein = logFC
  ) %>% 
    left_join(toptable.mRNA %>% 
                dplyr::select(gene_name, logFC.mRNA = logFC)
              ) %>% 
    na.omit() %>% 
  ggplot(
    aes(x = logFC.mRNA, y = logFC.protein)
  ) +
  geom_point(
    alpha = 0.5
  ) +
  geom_abline(
    slope = 1, 
    lty = 2, 
    colour = "red", 
    alpha = 0.5
    ) +
  coord_cartesian(
    xlim = c(-1,1), 
    ylim = c(-1,1)
  )
}
plotmRNAvProtein(
  toptable.protein = toptables$`MPSIIIB_M - wt_M`, 
  toptable.mRNA = toptables.mRNA.adult$`MPS-III`
  ) +
  labs(
    title = "MPS IIIB Males"
  )

plotmRNAvProtein(
  toptable.protein = toptables$`MPSIIIB_F - wt_F`, 
  toptable.mRNA = toptables.mRNA.adult$`MPS-III`
  ) +
  labs(
    title = "MPS IIIB females"
  )

plotmRNAvProtein(
  toptable.protein = toptables$`EOfADlike_M - wt_M`, 
  toptable.mRNA = toptables.mRNA.adult$EOfAD
  ) +
  labs(
    title = "EOfAD-like Males"
  )

plotmRNAvProtein(
  toptable.protein = toptables$`EOfADlike_M - wt_M`, 
  toptable.mRNA = toptables.mRNA.adult$EOfAD
  ) +
  labs(
    title = "EOfAD-like females"
  )

export data

toptables %>% 
  set_names(names(.) %>% str_remove_all(" - wt.+")) %>% 
  set_names(names(.) %>% paste0("protein_6mbrain_", .)) %>% 
  write.xlsx("output/spreadsheets/limma_proteomics_6mbrain.xlsx")

hmp.proteomics.kegg.output <- hmp.kegg$hmp %>% 
  left_join(hmp.kegg$fgsea %>% 
              bind_rows() %>% 
              dplyr::select(pathway, coef, leadingEdge),
              by = c('pathway', 'coef')
            ) %>% 
  split(f = .$coef) %>% 
  lapply(dplyr::select, -coef)

names(hmp.proteomics.kegg.output) %<>% 
  str_remove(" - wt.+") %>% 
  paste0("protein_KEGG_6mbr_", .)

hmp.proteomics.celltype.output <- hmp.cell$hmp %>% 
  left_join(hmp.cell$fgsea %>% 
              bind_rows() %>% 
              dplyr::select(pathway, coef, leadingEdge),
              by = c('pathway', 'coef')
            ) %>% 
  split(f = .$coef) %>% 
  lapply(dplyr::select, -coef)

names(hmp.proteomics.celltype.output) %<>% 
  str_remove(" - wt.+") %>% 
  paste0("protein_cell_6mbr_", .)

hmp.proteomics.ire.output <- ire.hmp$hmp %>% 
  left_join(ire.hmp$fgsea %>% 
              bind_rows() %>% 
              dplyr::select(pathway, coef, leadingEdge),
              by = c('pathway', 'coef')
            ) %>% 
  split(f = .$coef) %>% 
  lapply(dplyr::select, -coef)

names(hmp.proteomics.ire.output) %<>% 
  str_remove(" - wt.+") %>% 
  paste0("protein_ire_6mbrain_", .)

c(hmp.proteomics.celltype.output, hmp.proteomics.kegg.output, hmp.proteomics.ire.output) %>% 
  write.xlsx("output/spreadsheets/proteomics_6mbrain_hmpoutputs.xlsx")

sessionInfo()
R version 4.3.2 (2023-10-31)
Platform: aarch64-apple-darwin20 (64-bit)
Running under: macOS Sonoma 14.3

Matrix products: default
BLAS:   /Library/Frameworks/R.framework/Versions/4.3-arm64/Resources/lib/libRblas.0.dylib 
LAPACK: /Library/Frameworks/R.framework/Versions/4.3-arm64/Resources/lib/libRlapack.dylib;  LAPACK version 3.11.0

locale:
[1] en_US.UTF-8/en_US.UTF-8/en_US.UTF-8/C/en_US.UTF-8/en_US.UTF-8

time zone: Australia/Adelaide
tzcode source: internal

attached base packages:
[1] stats4    grid      stats     graphics  grDevices utils     datasets 
[8] methods   base     

other attached packages:
 [1] msigdbr_7.5.1          biomaRt_2.58.2         AnnotationHub_3.10.1  
 [4] BiocFileCache_2.10.2   dbplyr_2.5.0           UniProt.ws_2.42.0     
 [7] RSQLite_2.3.6          AnnotationDbi_1.64.1   IRanges_2.36.0        
[10] S4Vectors_0.40.2       STRINGdb_2.14.3        harmonicmeanp_3.0.1   
[13] FMStable_0.1-4         fgsea_1.28.0           goseq_1.54.0          
[16] geneLenDataBase_1.38.0 BiasedUrn_2.0.11       Biobase_2.62.0        
[19] BiocGenerics_0.48.1    limma_3.58.1           UpSetR_1.4.0          
[22] ggpol_0.0.7            ggrepel_0.9.5          pander_0.6.5          
[25] RColorBrewer_1.1-3     tidyHeatmap_1.10.2     circlize_0.4.16       
[28] ComplexHeatmap_2.18.0  clusterProfiler_4.10.1 ggfortify_0.4.16      
[31] scales_1.3.0           ggpubr_0.6.0           openxlsx_4.2.6.1      
[34] readxl_1.4.3           magrittr_2.0.3         lubridate_1.9.3       
[37] forcats_1.0.0          stringr_1.5.1          dplyr_1.1.4           
[40] purrr_1.0.2            readr_2.1.5            tidyr_1.3.1           
[43] tibble_3.2.1           ggplot2_3.5.0          tidyverse_2.0.0       
[46] workflowr_1.7.1       

loaded via a namespace (and not attached):
  [1] fs_1.6.3                      matrixStats_1.3.0            
  [3] bitops_1.0-7                  enrichplot_1.22.0            
  [5] HDO.db_0.99.1                 httr_1.4.7                   
  [7] doParallel_1.0.17             tools_4.3.2                  
  [9] backports_1.4.1               utf8_1.2.4                   
 [11] R6_2.5.1                      mgcv_1.9-1                   
 [13] lazyeval_0.2.2                GetoptLong_1.0.5             
 [15] withr_3.0.0                   prettyunits_1.2.0            
 [17] gridExtra_2.3                 cli_3.6.2                    
 [19] Cairo_1.6-2                   scatterpie_0.2.2             
 [21] labeling_0.4.3                sass_0.4.9                   
 [23] Rsamtools_2.18.0              yulab.utils_0.1.4            
 [25] gson_0.1.0                    DOSE_3.28.2                  
 [27] plotrix_3.8-4                 rstudioapi_0.16.0            
 [29] generics_0.1.3                gridGraphics_0.5-1           
 [31] shape_1.4.6.1                 BiocIO_1.12.0                
 [33] vroom_1.6.5                   gtools_3.9.5                 
 [35] car_3.1-2                     zip_2.3.1                    
 [37] dendextend_1.17.1             GO.db_3.18.0                 
 [39] Matrix_1.6-5                  fansi_1.0.6                  
 [41] abind_1.4-5                   lifecycle_1.0.4              
 [43] whisker_0.4.1                 yaml_2.3.8                   
 [45] carData_3.0-5                 SummarizedExperiment_1.32.0  
 [47] gplots_3.1.3.1                qvalue_2.34.0                
 [49] SparseArray_1.2.4             blob_1.2.4                   
 [51] promises_1.3.0                crayon_1.5.2                 
 [53] lattice_0.22-6                cowplot_1.1.3                
 [55] GenomicFeatures_1.54.4        KEGGREST_1.42.0              
 [57] pillar_1.9.0                  knitr_1.45                   
 [59] GenomicRanges_1.54.1          rjson_0.2.21                 
 [61] codetools_0.2-20              fastmatch_1.1-4              
 [63] glue_1.7.0                    getPass_0.2-4                
 [65] ggfun_0.1.4                   data.table_1.15.4            
 [67] vctrs_0.6.5                   png_0.1-8                    
 [69] treeio_1.26.0                 cellranger_1.1.0             
 [71] gtable_0.3.4                  gsubfn_0.7                   
 [73] cachem_1.0.8                  xfun_0.43                    
 [75] mime_0.12                     S4Arrays_1.2.1               
 [77] tidygraph_1.3.1               iterators_1.0.14             
 [79] statmod_1.5.0                 interactiveDisplayBase_1.40.0
 [81] nlme_3.1-164                  ggtree_3.10.1                
 [83] bit64_4.0.5                   progress_1.2.3               
 [85] filelock_1.0.3                GenomeInfoDb_1.38.8          
 [87] rprojroot_2.0.4               bslib_0.7.0                  
 [89] KernSmooth_2.23-22            colorspace_2.1-0             
 [91] DBI_1.2.2                     tidyselect_1.2.1             
 [93] processx_3.8.4                chron_2.3-61                 
 [95] bit_4.0.5                     compiler_4.3.2               
 [97] curl_5.2.1                    git2r_0.33.0                 
 [99] rjsoncons_1.3.1               xml2_1.3.6                   
[101] DelayedArray_0.28.0           shadowtext_0.1.3             
[103] rtracklayer_1.62.0            caTools_1.18.2               
[105] callr_3.7.6                   rappdirs_0.3.3               
[107] digest_0.6.35                 rmarkdown_2.26               
[109] XVector_0.42.0                htmltools_0.5.8.1            
[111] pkgconfig_2.0.3               MatrixGenerics_1.14.0        
[113] highr_0.10                    fastmap_1.1.1                
[115] rlang_1.1.3                   GlobalOptions_0.1.2          
[117] shiny_1.8.1.1                 farver_2.1.1                 
[119] jquerylib_0.1.4               jsonlite_1.8.8               
[121] BiocParallel_1.36.0           GOSemSim_2.28.1              
[123] RCurl_1.98-1.14               GenomeInfoDbData_1.2.11      
[125] ggplotify_0.1.2               patchwork_1.2.0              
[127] munsell_0.5.1                 Rcpp_1.0.12                  
[129] babelgene_22.9                proto_1.0.0                  
[131] ape_5.8                       viridis_0.6.5                
[133] sqldf_0.4-11                  stringi_1.8.3                
[135] ggraph_2.2.1                  zlibbioc_1.48.2              
[137] MASS_7.3-60.0.1               plyr_1.8.9                   
[139] parallel_4.3.2                Biostrings_2.70.3            
[141] graphlayouts_1.1.1            splines_4.3.2                
[143] hash_2.2.6.3                  hms_1.1.3                    
[145] ps_1.7.6                      igraph_2.0.3                 
[147] ggsignif_0.6.4                reshape2_1.4.4               
[149] BiocVersion_3.18.1            XML_3.99-0.16.1              
[151] evaluate_0.23                 BiocManager_1.30.22          
[153] tzdb_0.4.0                    foreach_1.5.2                
[155] tweenr_2.0.3                  httpuv_1.6.15                
[157] polyclip_1.10-6               clue_0.3-65                  
[159] BiocBaseUtils_1.4.0           ggforce_0.4.2                
[161] xtable_1.8-4                  broom_1.0.5                  
[163] restfulr_0.0.15               tidytree_0.4.6               
[165] rstatix_0.7.2                 later_1.3.2                  
[167] viridisLite_0.4.2             aplot_0.2.2                  
[169] memoise_2.0.1                 GenomicAlignments_1.38.2     
[171] cluster_2.1.6                 timechange_0.3.0